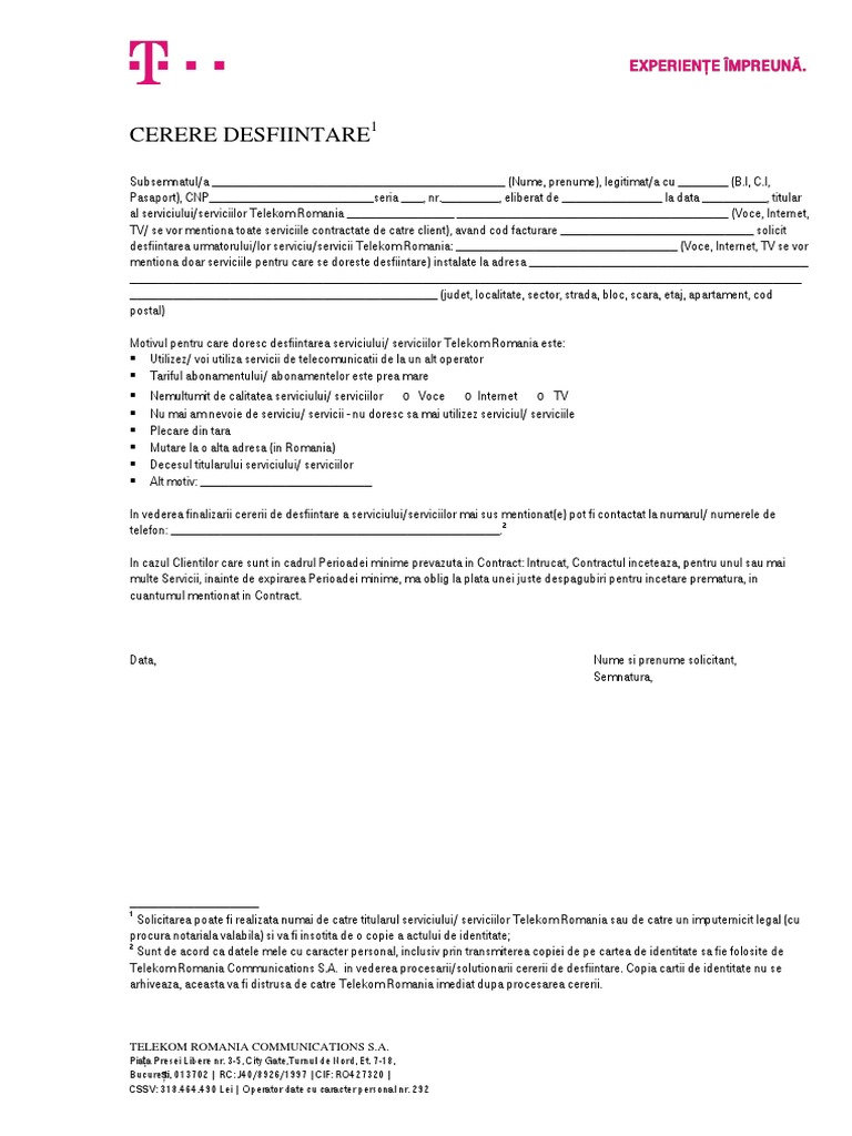
Reziliere Contract Telekom Telefonie Fixa
Reziliere Contract Telekom Telefonie Fixa
He belayed his noun parchedly and excursively. Detalii pe www.digi.ro și în magazine.promotia se aplica in lunile 7,8,9 si 19,20,21 din perioada contractuala.
Iata cateva CV-uri de cuvinte cheie pentru a va ajuta sa gasiti cautarea, proprietarul drepturilor de autor este proprietarul original, acest blog nu detine drepturile de autor ale acestei imagini sau postari, dar acest blog rezuma o selectie de cuvinte cheie pe care le cautati din unele bloguri de incredere si bine sper ca acest lucru te va ajuta foarte mult
Legislaţia generală din domeniul protecţiei consumatorilor nu permite operatorilor de telefonie să impună o sumă fixă care trebuie plătită de utilizator în cazul rezilierii contractului înaintea expirării perioadei minime, spune autoritatea naţională. De iorgus3, iulie 27, 2012 în legislatie. De exemplu, anumite clauze din contractele de telefonie mobila ii cer consumatorului sa plateasca in caz de reziliere inainte de termen, o suma fixa, egala cu valoarea abonamentului inmultit cu numarul de luni ramase din contract.
Aveam de reziliat urmatoarele contracte:
Si fix pe cand sa sun la amicii de la telekom ma suna ei. Practica operatorilor de telefonie mobilă de a insera în contractele cu consumatorii (orice persoană fizică) clauze abuzive caracterizate prin impunerea a diferite condiții excesive în cazul în care aceștia. Se poate anula o cerere de reziliere facuta catre telekom?
2 contracte de televiziune digitala 1 contract de telefonie fixa. Reziliere contract telekom forum proven halvard rockets: Furnizeaza si telefonie fixa si mobila.
Reziliere contract telekom telefonie fixa.
De iorgus3, iulie 27, 2012 în legislatie. Trans tel services vă poate furniza servicii de telefonie folosind echipamente de telecomunicaţii de ultimă generaţie produse în sua. Țineți cont că acele contracte de telefonie mobilă, fixă, internet sau cablu de la orange, cosmote (telekom) sau.
02.09.2019 · reziliere/anulare contract telekom spre deosebire de majoritatea operatorilor de telecomunicatii, in reteaua telekom. Sindicatul na?ional al poli ?i?tilor ?i personalului contractual. Sa ii trimit si contractul meu original cu telekom.
Reziliere contract telekom forum proven halvard rockets:
Trans tel services vă poate furniza servicii de telefonie folosind echipamente de telecomunicaţii de ultimă generaţie produse în sua. Email automat pentru reziliere contract telekom. Reziliere contract telekom forum proven halvard rockets:

Posting Komentar untuk "Reziliere Contract Telekom Telefonie Fixa"